圆周率π有没有可能根本不是无理数?
原创

圆周率π有没有可能根本不是无理数?

好文

热门回答:

根本没有可能。因为π是无理数。有严格的数学证明。

最早。认为π是无理数的是古希腊的亚里士多德。他断言:圆的周长与直径不可共度!

所谓。共度。指的是:对于 圆的周长 C 和 直径 D。存在 某个 长度为 r 的 尺子。分别去测量 C 和 D 。得到的测量结果。都刚好 整数个 r。于是说 r 是 C 和 D 的公共度量数。

C 和 D 可共度。就是 r 存在。 这时。 C = a⋅r。 D = b⋅r。a。b 为整数。于是 C/D = a⋅r/b⋅r = a/b 为一个有理数;C 和 D 不可共度。则 r 不存在。 C/D 不能表示为 a/b 。是无理数。

德国数学家 约翰·海因里希·兰伯。于 1766年 第一个证明 了π 是无理数。他的证明方法如下:

首先。根据。麦克劳林公式。

我们可以很方便地得到:

于是。

其中。

其中。

其中。

其中。

到这里。规律已经很明显了!

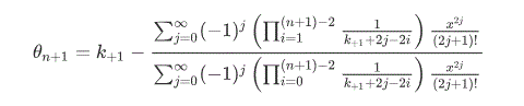
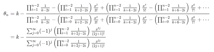
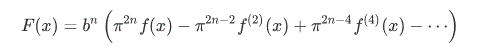
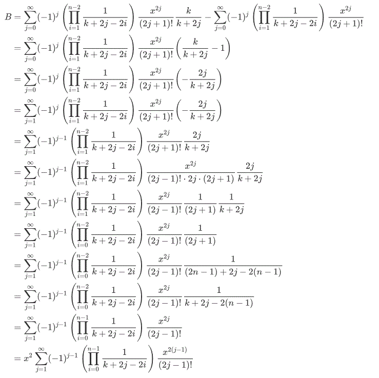
我们。令 (n ≥ 2, k = k(n) = 2n -1)。

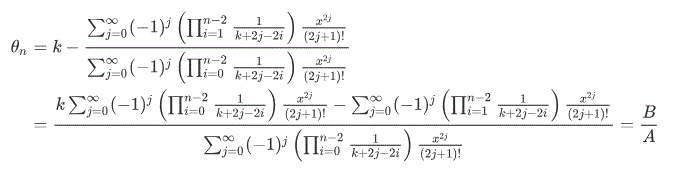
显然。n = 2, 3, 4 时。即。前面的 θ₂, θ₃, θ₄ 都符合上式!我们来进一步化简上式:

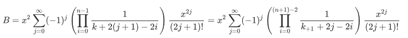
单看。分子有:

令。m = j + 1。然后再令 j = m。依次代入上式。得到 (令。 k₊₁ = k(n+1) = 2(n+1) - 1 = 2n - 1 + 2 = k + 2):

再看。分母:

令。m = i + 1。然后再令 i = m 。依次代入上式。得到:

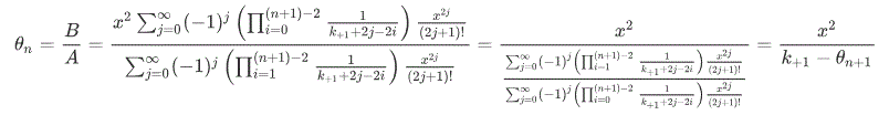
然后。有:

其中。

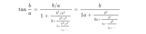
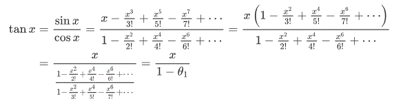
这样我们就得到了 tan x 的连分式:

然后。我们证明。当 x 是有理数时。tan x 一定是无理数。这里用反证法。

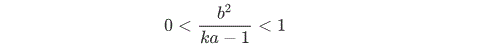
若 x 是有理数。则 x = b/a 。不妨设。b, a 为正整数。且 a > 1。带入 tan x 的连分式。有:

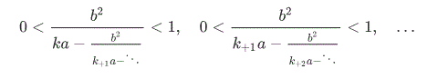
由于。b² 总保持不变。而 1a, 3a, 5a, 7a, ... 一直在增大。于是总存在 k = 2n - 1 使得 ka - b² > 1。于是:

而 k₊₁a > ka 于是 k₊₁a - b² > 1。所以:

于是:

进而得到:

不断重复。我们可得到:

假设。tan x 是有理数。则 上面的 连分数 都是 有理数。于是。令。

其中。 A₀ 和 A₁都是整数。 并且 A₀ > A₁ > 0。

变形上面的等式。 得到。

因为 k。a。b。A₀ 。A₁ 都是整数。所以 令 A₂ = kaA₁ - b²A₀。则 A₂ 也是整数。并且有。 A₀ > A₁ > A₂ > 0。

不断重复上面的过程。我们会得到一个无限的 严格递减 正整数序列:

A₀ > A₁ > A₂ > A₃ > A₄ > ... > 0

可是。不管 A₀ 有多大。小于 A₀ 大于 0 的 正整数 总是有限的。不可能存在 一个上面的 无限序列。矛盾! 故。假设 不成了。这样我们就证明了:

当 x 是 有理数时。tan x 一定是无理数。

最后。上面命题的逆反命题是:

当 tan x 是有理数时。x 一定是无理数。

而。我们知道 tan π/4 = 1 是有理数。故。 π/4 一定是无理数。从而 π = π/4 ⋅ 4。是 无理数 和 非零有理数 之积。是 无理数!

以上是基于初等数学的证明。比较繁琐。美国数学家 伊万·尼云。在 1974年。给出了 一个非常优美的证明。

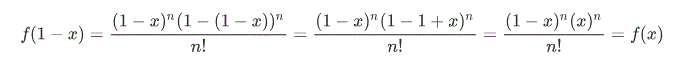
这里。我们先引入 一个多项式 函数。

根据。牛顿二项式定理:

有:

等式两边同乘以 xⁿ/n! 。有:

令。t = i + n。再令 i = t。依次代数上式。有:

令。

让 n ≥ 1。 我们得到 函数:

函数 f(x) 是 多项式。并且有如下特点:

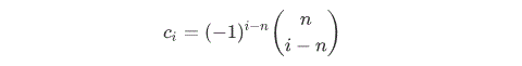
由于。cᵢ 是 组合数(或 负组合数)所以 cᵢ 一定是 整数;

当 0 < x < 1 时。0 < 1 - x < 1。 0 < xⁿ(1 - x)ⁿ < 1。于是 0 < f(x) < 1/n!;

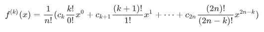
对于所有 k ≥ 0 , f⁽ᵏ⁾(x) 在 x = 0 或 1 时。都是 整数。证明如下:

当 0 ≤ k < n 时。

故 f⁽ᵏ⁾(0) = 0 是整数;当 n ≤ k ≤ 2n 时。

故 f⁽ᵏ⁾(0) = c_k⋅k!/ n! = c_k⋅k⋅⋅⋅(k-n) 是 整数;当 k > 2n 时。

故 f⁽ᵏ⁾(0) = 0 是整数。

由于。

所以。

故 f⁽ᵏ⁾(1) = (-1)ᵏf⁽ᵏ⁾(0) 也是整数。

然后。我们 正式 π 是无理数。因为 如果 π 是有理数。则 π² 有理数 乘以 有理数 还是 有理数。于是 只要 证明 π² 是无理数。可以了。这里使用反证法。

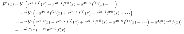
假设 π² 是有理数。则 π² = a/b, 其中 a, b 均为 正整数。利用 f(x) 偶数阶导数。定义另外一个多项式:

则:

于是。得到:

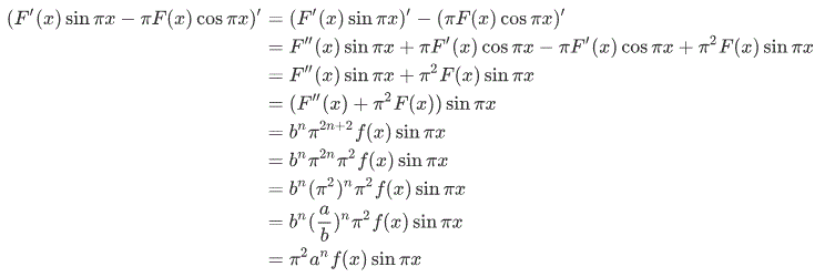
接下来是关键。考虑:

等式两边 除以 π。 有:

等式两边。同时 对区间 [0, 1] 定积分。令 该定积分为 S。有。

根据 f(x) 的性质 3。我们知道 F(1) 和 F(0) 都是 整数。故 S 为整数。

另一方面。由于 a, f(x) > 0 。而 在 区间 (0, 1) 内 sin πx > 0。 所以 πaⁿf(x)sin πx 在 区间 (0, 1) 是正的。故 积分 S > 0。

再根据。f(x) 的性质 2。有。

由于。n! 是比 2aⁿ 增长更快的函数。

所以。总算是存在 足够大 的 n 。使得 2aⁿ < n!。这时:

由于。0 和 1 之间不存在 整数。 所以 S 不可能 是 整数。这与 上面得到 S 是整数的结论 矛盾。假设不成了。于是 π² 是无理数。

当然。证明π是无理数。还有很多方法。以上 只是最流行的两种。

(感谢大家阅读!小石头数学水平有限。出错在所难免。欢迎广大条友批评指正!)

其他观点:

没有任何可能性!原因很简单。数学家们早就证明了π确实是无理数。证明过程并不太复杂。这里不再详述。有兴趣的简单搜索就能找到答案!

所以。既然已经证明了π是无理数。它就是无理数。不可能是有理数!不过很多人对π是无理数感到有些不解。

数学上的定义。π就是圆周长与直径的比。圆周长和直径都是线段。线段的长度不应该是固定的吗?它们比值怎么会是无理数呢?

很明显。很多人把“固定的数”与“无理数”弄混了。任何数都是固定的数。无理数也是如此。π是固定的数与1是固定的数本质上是一样的。同理。根号2也是固定的数!不能因为无理数是无限不循环的就说它们是不固定的数!

另外需要明白一点。1和1厘米(或者π和π厘米。任意数都一样)有本质区别。1是数学定义。它就是1。而1厘米是现实或许物理上的定义。你不但画不出π厘米的线段。也画不出正好是1厘米的线段。说白了。你画不出任何精确长度的线段。因为误差是永远存在的。不可能存在绝对的精确值!

π是无理数。某中意义上也说明了没有真正的圆。说白了。圆就是正N边形(N趋于无穷大)!

其他观点:

圆周率π是数学和物理中十分常见的常数。它经常出现在各种数学物理方程中。就连爱因斯坦广义相对论的引力场方程中也有圆周率的身影。圆周率的定义很简单。即为圆的周长与其直径之比。

不过。我们并不能根据圆周率的定义来直接测量出圆周率。因为圆的周长和直径不可能十分精确地测出来。这样就无法得到圆周率的精确值。

最初。数学家通过割圆术来计算圆周率。通过做圆的正内接多边形和正外接多边形。边做得越多。正多边形越接近于圆。通过计算正多边形的边长或者面积。可以算出圆周率的上下限。1500多年前的中国数学家祖冲之就是通过这种方法准确算出圆周率小数位的前七位。这个精度曾经领先世界一千年。


那么。圆周率是否能够算尽呢?

尽管圆的周长和直径都是存在的。但它们都不可能同时是有理数。数学家通过多种不同的方法证明。圆周率是算不尽的。它的小数位是无限不循环的。这是一个无理数。因此。圆的周长和直径之中最多只有一个有理数。例如。圆的直径为1。周长为π;圆的直径为1/π。周长为1。

虽然圆周率算不到最后一位。但假设圆周率被算尽了。会出现怎样的后果呢?圆还会存在吗?我们所生活的宇宙会发生什么变化?

圆周率是有理数。随之会带来的一个巨大问题是微积分不会成立。与微积分有关的公式都是错误的。现有的数学公理体系都是错误的。数学的严密逻辑存在巨大漏洞。人类数千年来构建的数学大厦将会倒塌。从另一方面来说。这将会开启一个数学的黄金时代。还有一片更加广阔的“数学大陆”有待发现。

圆周率的变化将会深刻地影响到我们的宇宙。因为我们现在的宇宙是基于圆周率为无理数的前提而存在的。如果圆周率成了有理数。时空的性质将会发生变化。宇宙中的各种常数和物理定律也有可能发生变化。这甚至可能会导致宇宙无法形成。

您还感兴趣的文章推荐

以上就是由互联网推广工程师 网创网 整理编辑的,如果觉得有帮助欢迎收藏转发~

分享到 :
相关推荐

发表回复

登录... 后才能评论

评论(2)

  • 初心未变 永久VIP 2022年12月27日 10:52:07

    无理数,有理数,圆周率,整数,都是,数学,直径,不可能,线段,数学家

  • 情多浓 永久VIP 2022年12月27日 10:52:07

    没想到大家都对圆周率π有没有可能根本不是无理数?感兴趣,不过这这篇解答确实也是太好了

  • 意中人 永久VIP 2022年12月27日 10:52:07

    根本没有可能。因为π是无理数。有严格的数学证明。最早。认为π是无理数的是古希腊的亚里士多德。他断言:圆的周长与直径不可