既然π是个无理数,就是没有最后一位数,但是我们又是怎么计算出π³,3π这样的结果呢?
原创

既然π是个无理数,就是没有最后一位数,但是我们又是怎么计算出π³,3π这样的结果呢?

好文
试试语音读文章

热门回答:

谢谢邀请。喜欢请关注天天有料的“逃学博士”。

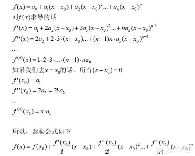
泰勒公式

数学中。泰勒公式是一个用函数在某点的信息描述其附近取值的公式。如果函数足够平滑的话。在已知函数在某一点的各阶导数值的情况之下。泰勒公式可以用这些导数值做系数构建一个多项式来近似函数在这一点的邻域中的值。泰勒公式还给出了这个多项式和实际的函数值之间的偏差。

泰勒公式将函数、导数和数列的知识集合在了一起。那么。泰勒公式有什么应用呢?

e、sin x、π等值的计算

e是自然对数的底。计算机是怎么给出e这样一个无理数的值的呢。如上图。e在电脑中被分解成了一个数列的和。我们对e的值和精度的要求。只取决于n的取值。

对于问题中的π。一般用的是arctan x的泰勒展开。tan π/4 = 1。那么。arctan x 在x=1的点出的值乘以4就是π的值。

π = 4 * (arctan x的泰勒展开。x = 1)

如果要计算3π。只要将4换成12就好了。

希望我的回答对你有帮助。喜欢我的回答。请关注“逃学博士”。

其他观点:

圆周率π的研究历史贯穿着整个数学史的发展。直到近代人们才证明π是无理数。超越数。也就是说π不可能是任何一个代数多项式方程的根。

近代以前。人们计算π的方式最显著的就是割圆术了。计算无比繁杂。收敛速度也缓慢。分析学的诞生。让人们可以用无数种方式来计算π的值。一直到现在人们也一直在穷尽算力计算π的数值。

这里的π是圆周率的符号。各种自然科学上含有π的公式不计其数。只要我们需要。可以计算出任意位数的π值。可以将实际误差控制在极小极小的范围内。假如我们用35位有效数字的π的值去计算太阳系的大小。那么误差就比一个质子直径的百万分之一还要小。因为我们可以有任意多位数的π值。因此任意π的组合的数值都是可以被计算出来的。有了任意精度的π值。我们就可以很方便地求出这里的π组合值的任意位数值了。

事实上对于任意无理数。我们在使用的时候都只是用一个代号来简便计算。比如e。根号2...真的需要计算出实际数值时。我们才把满足精度要求的π值带入进去来得到最终的结果。

欢迎大家关注。

(数学+文艺)×青年=徐晓亚然。。。

其他观点:

也知只是一个近似值

您还感兴趣的文章推荐

以上就是由互联网推广工程师 网创网 整理编辑的,如果觉得有帮助欢迎收藏转发~

分享到 :
相关推荐

发表评论

您的电子邮箱地址不会被公开。

评论(2)

  • 陌清茗 永久VIP 2022年12月27日 19:29:43

    泰勒,公式,函数,无理数,多项式,导数,数值,圆周率,精度,组合

  • 眼角痣 永久VIP 2022年12月27日 19:29:43

    没想到大家都对既然π是个无理数,就是没有最后一位数,但是我们又是怎么计算出π³,3π这样的结果呢?感兴趣,不过这这篇解答确实也是太好了

  • 意中人 永久VIP 2022年12月27日 19:29:43

    谢谢邀请。喜欢请关注天天有料的“逃学博士”。泰勒公式数学中。泰勒公式是一个用函数在某点的信息描述其附近取值的公式。如